微分

  1. 平均変化率
  2. 微分と導関数
  3. 対数関数の微分
  4. 指数関数の微分
  5. べき乗(xn)の微分
  6. 三角関数の微分
  7. 微分の公式

  1. 平均変化率
    平均変化率は、図に赤色で示す2つの点 A, B を通る直線の傾きを意味する。

    図の横軸を時間、縦軸を出発点からの距離とすると、


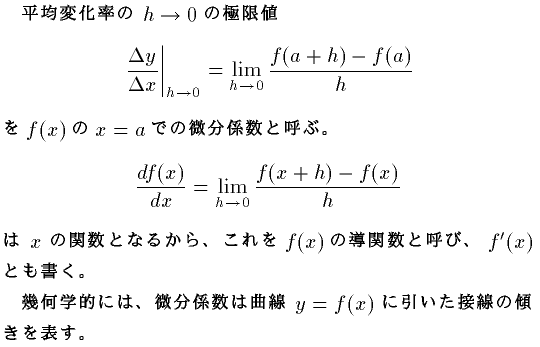
  2. 微分と導関数
    幾何学的には、微分係数は曲線 y=f(x) に引いた接線の傾きを表す。
  3. 対数関数の微分

    自然対数 logex を常用対数と区別するために、 ln x と書き表すことがある。


  4. 指数関数の微分

    指数関数 ex を exp(x) と書き表すこともある。
    指数関数は、次に示すように、その微分も指数関数となる性質を持つ。
    指数関数は対数関数の逆関数であるから、 対数関数の微分を利用して指数関数の微分を求めると次のようになる。

    →逆関数の微分法を参照


  5. べき乗(xn)の微分

    → 対数微分法を参照


  6. 三角関数の微分

    sin(x)/x の極限値を参照

  7. よく使用する微分の公式